Solarbio分析标准品之糖类精选系列-自主发布-资讯-生物在线

Solarbio分析标准品之糖类精选系列

作者:北京索莱宝科技有限公司 2025-12-12T00:00 (访问量:12602)

索莱宝分析标准品事业部始终秉持着对专业领域的热忱与执着,全力以赴只为能够精准洞察客户的多元需求,进而为客户呈献更为周全和优质的专业服务。

经过近10年的积累,我们产品线至今已经发展出了多种产品线,囊括了分析对照品、含量测定标准品(可溯源至中检所)、对照药材、紫外分光标准品、标准溶液、标准品套装、分析辅助试剂(包括QuEChERS 前处理产品)和衍生试剂盒等共计万余种产品。不仅品类丰富哦,质量控制也是非常重要的,索莱宝分析标准品生产遵循严格的SOP,产品均经过HPLCMSNMR的验证,并同时提供溶解性、分子式等理化信息,在线说明书、MSDS、标准品产品使用指南等资料扫码随时可查看,并可提供对应产品批次的质量报告等。如果您对产品还有任何疑问,我们还配备了专业的技术支持为客户的售前售后保驾护航。

糖类化合物(又称碳水化合物)是一类以多羟基醛、多羟基酮或其衍生物为核心结构的有机化合物,广泛存在于自然界,是一切维持生命活动所需能量的主要来源,兼具结构支撑、信息传递等多重生物学功能。“糖”与一般所称的“糖”不同,“糖”是指食糖,泛指一切具有甜味的糖类,如葡萄糖、麦芽糖及主要的蔗糖;而糖类包括所有单糖、双糖及多糖,并不仅指含有甜味的物质 [1]

 

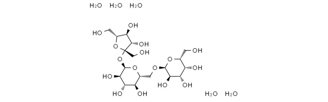
D(+)-五水棉子糖

D(+)-五水棉子糖(D(+)-Raffinose Pentahydrate)属于寡糖(三糖),由1分子D-半乳糖、1分子D-葡萄糖和1分子D-果糖通过糖苷键连接而成,该物质的水溶液具有右旋光性,其主要存在于棉籽、甜菜、大豆、南瓜籽等植物中。D(+)-五水棉子糖对人体具有重要的生理功能,可作为低热量甜味剂、也可以调节肠道菌群增强人体免疫力、还可以一定程度的保护肝脏,主要应用于食品、医疗和饲料等~

CAT

SR8480

CAS

17629-30-0

纯度

HPLC≥98%

溶解度

≥10mg/mL in DMSO

类别

糖类&糖醇类

质检图谱

 

阿卡波糖

阿卡波糖(Acarbose)是一种复杂的低聚糖,以“葡萄糖-葡萄糖-葡萄糖”的三糖链为基础,在末端葡萄糖单元的C4位连接一个含氨基的环-己烯结构,形成独特的伪四糖结构。其来源大部分是人工合成的,是一种有效的α-葡萄糖苷酶抑制剂可用于调控血糖。

CAT

SA8820

CAS

56180-94-0

纯度

HPLC≥98%

溶解度

≥10mg/mL in Water

类别

糖类&糖醇类

质检图谱

D-甘露糖

D-甘露糖(D-Mannose)属于单糖中的己醛糖,与葡萄糖、半乳糖同属六碳糖家族,是自然界中常见的天然单糖之一。D-甘露糖广泛存在于柑橘皮、桃、苹果等植物及象牙棕榈子、酵母等生物聚糖中,具有低消化吸收特性、泌尿系统健康保护的生理功能。

CAT

SD8420

CAS

3458-28-4

纯度

HPLC≥98%

溶解度

≥10mg/mL in Water

类别

糖类&糖醇类

质检图谱

 

水苏糖

水苏糖(Stachyose)是由半乳二糖、葡萄糖、果糖组成的低聚四糖,通常最在于水苏属植物的根茎中,是自然界存在着各种功能性的低聚糖。水苏糖具有良好的热稳定性,在100℃的高温下也不会分解。

CAT

SS9461

CAS

54261-98-2

纯度

HPLC≥98%

溶解度

≥10mg/mL in Water

类别

糖类&糖醇类

质检图谱

 

D-(+)-木糖

D-(+)-木糖(D-(+)-Xylose)是一种戊醛糖(五碳糖),是自然界中非常丰富的非己糖单糖,其天然产物通常以D-构型存在。D-(+)-木糖广泛存在于自然界的植物中,也存在于多种水果、蔬菜、食用菌等。D-(+)-木糖对人体具有独特的生理功能,可作为糖尿病人的安全甜味剂;同时,它作为一种益生元,能够改善肠道健康。

CAT

SX8030

CAS

58-86-6

纯度

HPLC≥98%

溶解度

≥10mg/mL in Water

类别

糖类&糖醇类

质检图谱

D-海藻糖二水

D-海藻糖二水(D(+)-Trehalose Dihydrate)属于非还原性二糖,由两分子D-葡萄糖通过α,α-1,1-糖苷键连接而成。该物质的水溶液具有右旋光性,其稳定的二水合物形式是其在自然界中常见的存在形态。它广泛存在于多种生物体中,是许多耐干旱复苏植物(如卷柏)、微生物(如酵母、蘑菇)以及是昆虫血液中的重要储能物质和应激保护剂。

CAT

ST8420

CAS

6138-23-4

纯度

HPLC≥98%

溶解度

≥10mg/mL in Water

类别

糖类&糖醇类

质检图谱

蜜二糖一水

蜜二糖一水(Melibiose)是由1分子D-半乳糖与1分子D-葡萄糖通过α-1,6-糖苷键连接而成的还原性二糖,其水溶液具有右旋光性。蜜二糖一水的天然产物是棉子糖的组成结构单元,在自然界中其主要来源于甜菜、棉籽及部分豆科植物中。

CAT

SM8600

CAS

66009-10-7

纯度

HPLC≥98%

溶解度

≥10mg/mL in Water

类别

糖类&糖醇类

质检图谱

毛蕊花糖苷

毛蕊花糖苷(Acteoside)是一种水溶性的苯乙醇苷类化合物,具有邻苯-酚羟基结构导致化学稳定性较差,在碱性环境下降解速率显著加快。天然的毛蕊花糖苷来源于多种药用植物中,特别是在列当科植物(如肉苁蓉)、地黄、连翘以及大叶紫珠等植物中含量较高,并且该化合物表现出抗氧化、抗肿瘤、神经保护等多重药理活性。

CAT

SA8050

CAS

61276-17-3

纯度

HPLC≥98%

溶解度

≥10mg/mL in Water

类别

糖类&糖醇类

质检图谱

参考文献

[1] 汪忠.高中教材生物1分子与细胞.江苏教育出版社.2014年6月第9版.

 

相关文献

 

北京索莱宝科技有限公司 商家主页

地 址: 北京市北京经济技术开发区环科中路16号26幢3层301

联系人: 索莱宝-龚思雨

电 话: 010-50973130

传 真:

Email:3193328036@qq.com

相关咨询
ADVERTISEMENT